Определение значения синуса, косинуса, тангенса и котангенса
Определение
Тригонометрия — это техническая часть математики, в которой представлены особенности взаимосвязи между сторонами и углами треугольников.
Тригонометрические функции, является очень важной составляющей не только математики, но других технических наук. Применяя основные формулы и законы тригонометрии при вычислении задач
Огромное значение имеют таблицы значений данных функций. Они существенно упрощают решение задач различной сложности.
Применяя основные формулы и законы тригонометрии при вычислении задач. Огромное значение имеют таблицы значений данных функций. Они существенно упрощают решение задач различной сложности.
Процесс работы и расчета функций данного вида, очень непростой. Решение задач и уравнение, очень часто вызывают сложности. Поэтому, со временем, были созданы и разработаны несколько видов решений, чтобы облегчить жизнь математика и всем представителям технических наук. Преобразовывая тригонометрические формулы, необходимо руководствоваться следующими правилами:
- Нельзя продумывать весь процесс решения от начала до самого конца сразу. Нужно определиться с основными задачами и данными.
- Весь пример, подвергать упрощению или преобразования постепенно;
- Разрешается применять все преобразования и действия, связанные с алгеброй, а именно: вынести значение за пределы скобок. сократить значение и многое другое:
\
Зная основные определения тригонометрических функций, можно определить их угловые значения. Для углов от нуля до трехсот шестидесяти градусов, вычислим данные и запишем их в виде таблицы.
Значения вышеупомянутых математических функций, в частности в разделе геометрия, вычисляются как соотношения длин прямоугольного треугольника.
Углы геометрической фигуры имеют соответствующие значения в градусах. Используя основные определения математики, а именно тригонометрии можно определить нужные нам данные.
Определим основные значения
1.синуса (sin):

2. косинуса (cos):

3. тангенса(tg):

\
Данные выше угловые значения, не определяются, согласно основным законам геометрии и математики.
4. котангенса (ctg)
\
Для перечисленных выше угловых значений по законам математики и всех технических наук в целом, значения не определяются

Мы произвели основные расчеты. Определили результаты угловых значений.
Мы определились с основными угловыми значениями функций. Следующим шагом будет их сведение в таблицу.
Таблица1. Основные значения функций косинус, синус, тангенс и котангенс, для угловых значений и радиан

Продолжение таблицы 1
Продолжение таблицы 1
Вычисленные значения принято сводить в таблицу, показанную выше. Особенно рекомендуются, ее заучивать наизусть, для более лучшего восприятия. Рассмотрим, также значения для нестандартных угловых значений и сведем их в таблицу.
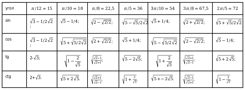
Таблица 2. Нестандартные углы функций косинус, синус, тангенс и котангенс в тригонометрии

В данной таблице приведены значения углов, которые считаются нестандартными, также таблица необходима, чтобы облегчить жизнь, в первую очередь, школьной программе.
Например:

Значение заданной функции берется из таблицы. Оно равняется данному, которое попадает на пересечение столбца и строки.
Пример №1. Необходимо определить чему равен \
Берем левый столбец с наименованием функции, находим в верхней строке нужный градус, и на пересечении определяем нужный ответ.
Следовательно:\.
Пример №2. Необходимо определить чему равен \.
Берем левый столбец с наименованием функции, находим в нижней строке значение радиан, поднимается на верх таблицы и определяем градусы.
\
Пример №3. Необходимо определить чему равен \.
Проводим аналогичные действия, как в предыдущих двух примерах и определяем угловое значение.
\
Тригонометрический круг
Графически соотношение упомянутых величин можно представить следующим образом:

Окружность, в данном случае, представляет собой все возможные значения угла α — от 0° до 360°. Как видно из рисунка, каждая функция принимает отрицательное или положительное значение в зависимости от величины угла. Например, sin α будет со знаком «+», если α принадлежит I и II четверти окружности, то есть, находится в промежутке от 0° до 180°. При α от 180° до 360° (III и IV четверти) sin α может быть только отрицательным значением.
Попробуем построить тригонометрические таблицы для конкретных углов и узнать значение величин.

Значения α равные 30°, 45°, 60°, 90°, 180° и так далее – называют частными случаями. Значения тригонометрических функций для них просчитаны и представлены в виде специальных таблиц.

Данные углы выбраны отнюдь не случайно. Обозначение π в таблицах стоит для радиан. Рад — это угол, при котором длина дуги окружности соответствует ее радиусу. Данная величина была введена для того, чтобы установить универсальную зависимость, при расчетах в радианах не имеет значение действительная длина радиуса в см.

Углы в таблицах для тригонометрических функций соответствуют значениям радиан:

Итак, не трудно догадаться, что 2π – это полная окружность или 360°.
Вычисление данных при помощи фигуры — прямоугольный треугольник
Для этого строится нужный треугольник заданным углом, который необходимо определить. Строится угол, точка и луч, которые выходят из данной точки под определенным углом. Соединяем лучи, прямой линией перпендикулярной, одному из лучей. В конечном итоге получаем фигуру, угол которой равняется заданному в задаче углу. В процессе вычисления, также задаются длины сторон. Поэтому трудней с построением не должно возникнуть.
Вычисление при помощи длин сторон треугольника происходит следующим образом:
- обозначается катет;
- сторона возле угла;
- сторона напротив угла с прямым значением.
Функции могут выражаться по-разному в отношении сторон. Например, нам нужно определим значение sin 45°. Поделим имеющуюся длину значения противолежащего катета на значение длины гипотенузы. Если заданные значения длины равны 4 и 6 соответственно. Тогда, составим следующее выражение и получим sin\
Для определения значений основных функций в математике, необходимо заучить наизусть определение основных понятий, связанный с данной темой.
В процессе решения задачи, это придется применять постоянно.
Значения косеканса и секанса определяются в обратном порядке. Для этого необходимо знать какие стороны нужно делить для определения вышеперечисленных функций.
Косеканс находится \ следовательно, нужно разделить гипотенузу на противолежащий катет. Секанс, наоборот к прилежащему катету \.
Например, для определения cosec 40°, если катет равен 5, а гипотенуза соответственно равна 8. Нужно разделить 5/8 и получим ответ cosec 40° = 0,63.
При вычислениях всегда рекомендуется исключать значение под корнем в знаменателе, это наиболее облегчает процесс расчета.
Рассмотренная тема преобразования и расчета функций, является довольно громоздкой, на первый взгляд. Применяя для решения огромные формулы и функции можно растеряться и не сразу сообразить, как производить их расчет. Однако досконально рассмотрев и изучив каждый раздел, становится понятно, что все достаточно просто и громоздкие таблицы освоить можно быстро и легко.
Значения от 181 до 360 градусов
Таблицы Брадиса дают значения для углов от 0° до 90°. Остальные величины можно легко найти с помощью формул приведения. В этом случае угол, величину которого необходимо узнать, представляется как сумма (или разность) угла, кратного 90° и острого угла, например, для 140° это будет:
- 90° + 50°;
- 180° — 40°.
Формулы приведения, которые используются в этом случае, имеют вид:
- \(\sin\;(90^\circ\;+\;a)\;=\;\cos\;a,\;\sin\;(180^\circ\;-\;\beta)\;=\;\sin\;a\);
- \(\cos\;(90^\circ\;+\;a)\;=\;-\sin\;a,\;\cos\;(180^\circ\;-\;\beta)\;=\;-\cos\;a\);
- \(tg\;(90^\circ\;+\;a)\;=\;-ctg\;a,\;tg\;(180^\circ\;-\;\beta)\;=\;-tg\;a\);
- \(ctg\;(90^\circ\;+\;a)\;=\;-tg\;a,\;ctg\;(180^\circ\;-\;\beta)\;=\;-ctg\;a\).
Для примера можно провести расчет для ситуации, когда угол в 140° представлен как 90° + 50°:
- \(\sin\;(90^\circ\;+\;50^\circ)\;=\;\cos\;50^\circ\;=\;0,6428\);
- \(\cos\;(90^\circ\;+\;50^\circ)\;=\;-\sin\;50^\circ\;=\;-0,7660\);
- \(tg(90^\circ+50^\circ)=-ctg50^\circ=-0,8391\);
- \(ctg\;(90^\circ\;+\;50^\circ)\;=\;tg\;50^\circ\;=\;1,1918\).
Стандартные углы
Итак, значения $\sin \alpha $, $\cos \alpha $, $\operatorname{tg}\alpha $ и $\operatorname{ctg}\alpha $ однозначно определяются величиной угла $\alpha $. Нам не важен треугольник — важна только градусная мера угла. Можно один раз посчитать синусы, косинусы и т.д. для нужных углов, а затем просто подставлять их.
Но тут мы сталкиваемся с проблемой, из-за которой многие как раз и не понимают тригонометрию. Проблема состоит из двух пунктов:
- Для большинства углов $\alpha $ нельзя найти точные значения $\sin \alpha $, $\cos \alpha $, $\operatorname{tg}\alpha $.
- Верно и обратное: для большинства «красивых» $\sin \alpha $, $\cos \alpha $ и т.д. нельзя подобрать подходящий угол $\alpha $.
Звучит немного непонятно, поэтому разберём каждый пункт на конкретных примерах.
3.1. Три стандартных угла
Существует лишь три острых угла, для которых легко считаются синусы, косинусы и т.д. Это 30°, 45°, 60°. Вот их синусы, косинусы и тангенсы:
\
Чтобы понять, чем эти углы такие особенные, просто посчитаем все эти синусы, косинусы и тангенсы. Начнём с $\alpha =45{}^\circ $. Для этого рассмотрим равнобедренный прямоугольный треугольник. Мы уже встречались с ним:
Поскольку в равнобедренном треугольнике $\angle A=\angle B=45{}^\circ $, получим:
\
Это именно те значения, которые указаны в таблице!
Теперь разберёмся с углами $\alpha =30{}^\circ $ и $\alpha =60{}^\circ $. Здесь рассуждения будут чуть сложнее. Сначала рассмотрим равносторонний треугольник $ABC$ со стороной $AB=2$ (просто так удобнее) и проведём высоту $BH$:
Мы знаем, что высота $BH$ — ещё и медиана, и биссектриса. Поэтому $AH=CH=1$, $\angle ABH=\angle CBH=30{}^\circ $.
Следовательно, треугольник $ABH$ — прямоугольный, да ещё и с острыми углами 30° и 60°. По теореме Пифагора легко найти $BH=\sqrt{3}$. Нанесём все данные на чертёж:
Разберёмся с углом 60°:
\
И с углом 30°:
\
Попробуйте повторить все эти рассуждения самостоятельно. Это очень полезное упражнение!
Возникает вопрос: как быть с другими углами? Например, можно ли найти $\sin {50}^\circ $? Или, быть может, $\cos {10}^\circ $? Спойлер: можно, но это будут очень громоздкие выражения. И у нас пока не хватает технологий, чтобы их найти.
Поэтому идём дальше и посмотрим на ситуацию с другой стороны: как подобрать угол к заданному синусу, косинусу, тангенсу?
3.2. Что с другими углами?
Взгляните ещё раз на «классический» прямоугольный треугольник, с которого мы начинали наши рассуждения:
Катеты 4 и 3, гипотенуза 5 — вполне обычный треугольник. Для него можно посчитать, например, синус острого угла $\alpha $:
\
Итак, мы знаем синус
Внимание, вопрос: каким должен быть угол $\alpha $, чтобы $\sin \alpha =0,6$? Сколько градусов должно быть в угле $\alpha $? Ответ: неизвестно.:). Точнее, правильнее сказать, что у нас пока нет технологий, позволяющих найти такой угол $\alpha $, чтобы $\sin \alpha =0,6$
Хотя такой угол точно есть, ведь мы предъявили треугольник, в котором он присутствует
Точнее, правильнее сказать, что у нас пока нет технологий, позволяющих найти такой угол $\alpha $, чтобы $\sin \alpha =0,6$. Хотя такой угол точно есть, ведь мы предъявили треугольник, в котором он присутствует.
Из всех этих рассуждений сделаем важный вывод. В тригонометрии мы:
- Либо берём угол и считаем для него синусы, косинусы и т.д. Но лишь для трёх острых углов — 30°, 45°, 60° — всё будет считаться быстро и красиво. Такие углы называются табличными.
- Либо берём синус, косинус или тангенс и для него пытаемся подобрать острый угол. Но лишь для табличных значений мы сможем подобрать такие углы. И да: это будут углы 30°, 45°, 60°.
Ещё раз:
И наоборот:
С этой мыслью мы и переходим к следующему пункту — свойства тригонометрических выражений.
Что такое таблицы тригонометрических функций
Определение
Тригонометрические функции — элементарные функции, которые исторически возникли при рассмотрении прямоугольных треугольников и выражали зависимости длин сторон этих треугольников от острых углов при гипотенузе.
Для определения неизвестных элементов треугольника (сторон или углов), необходимо использовать известные элементы и правила зависимости между ними. Подобные зависимости называют также тригонометрическими функциями. Таким образом, зная значения некоторого угла или стороны, пользуясь тригонометрическими функциями можно найти неизвестные углы и стороны треугольника. Именно поэтому, без знаний тригонометрии решать геометрические задачи не представляется возможным.
Основные тригонометрические функции:
Осторожно! Если преподаватель обнаружит плагиат в работе, не избежать крупных проблем (вплоть до отчисления). Если нет возможности написать самому, закажите тут
- Синус — отношение противолежащего катета к гипотенузе.
- Косинус — отношение прилежащего катета к гипотенузе.
- Тангенс — отношение противолежащего катета к прилежащему. Также равен частному от деления синуса определенного угла на его косинус.
- Котангенс — отношение прилежащего катета к противолежащему. Также равен частному от деления косинуса определенного угла на его синус.
Примечание
Синус и косинус являются прямыми тригонометрическими функциями, тангенс и котангенс — производными. Существуют и другие тригонометрические функции, например — арктангенс. Арктангенс относится к так называемым обратным тригонометрическим функциям, и является функцией, обратной тангенсу. Это означает, что если тангенс некоторого угла у градусов (радиан) равен х, значит арктангенс x равняется y градусов (радиан).
Вычисленные тригонометрические функции (синус, косинус и тангенс) представляют в виде специальных таблиц, которые можно использовать при решении задач — это и есть таблицы тригонометрических функций. В них приведены значения тригонометрических функций углов от 0° до 360°.
Для прямоугольных треугольников в диапазоне углов от 30° до 90° тригонометрические функции равняются следующим значениям:
sin 30° = 1/2, cos 30° = √3/2, tg 30° = √3/3, ctg 30° = √3
sin 45° = √2/2, cos 45° = √2/2, tg 45°= 1, ctg 45° = 1
sin 60° = √3/2, cos 60° = 1/2, tg 60° =√3 , ctg 60° = √3/3
Как выглядит для значений, синуса, косинуса, тангенса и котангенса
Таблица тригонометрических функций выглядит следующим образом:
Значение аргумента α задано в верхней строке задано в градусах (от 0° до 90°), во второй строке — в радианах (0, π/6, π/4, π/3, π/2 радиан). Иногда в таблице присутствуют значения только в радианах. Для перевода в градусы необходимо подставить число π = 180°, например, π/6 = 180/6 = 30°.
Обозначение «не определен» в таблице (тангенс 90° и котангенс 0°) означает, что функция является неопределенной.
Пример
Алгоритм решения задач с помощью данной таблицы крайне прост. К примеру, нам необходимо найти значение косинуса 30°. Для этого найдем ячейку пересечения строки косинуса и столбца значений для 30°. В данной ячейке находится искомое значение.
Таблица косинусов для 0°-180°
|
|
|
Таблица основных тригонометрических функций для углов 0, 30, 45, 60, 90, … градусов
Из тригонометрических определений функций $\sin$, $\cos$, $\tan$ и $\cot$ можно узнать их значения для углов $0$ и $90$ градусов:
$\sin0°=0$, $\cos0°=1$, $\tan 0°=0$, $\cot 0°$ не определяется;
$\sin90°=1$, $\cos90°=0$, $\cot90°=0$, $\tan 90°$ не определяется.
В школьном курсе геометрии при изучении прямоугольных треугольников находят тригонометрические функции углов $0°$, $30°$, $45°$, $60°$ и $90°$.
Найденные значения тригонометрических функций для указанных углов в градусах и радианах соответственно ($0$, $\frac{\pi}{6}$, $\frac{\pi}{4}$, $\frac{\pi}{3}$, $\frac{\pi}{2}$) для удобства запоминания и использования заносят в таблицу, которую называют тригонометрической таблицей, таблицей основных значений тригонометрических функций и т.п.

При использовании формул приведения, тригонометрическая таблица может быть расширена до угла $360°$ и соответственно $2\pi$ радиан:

Применяя свойства периодичности тригонометрических функций, каждый угол, который будет отличаться от уже известного на $360°$, можно рассчитать и записать в таблицу. Например, тригонометрическая функция для угла $0°$ будет иметь такое же значение и для угла $0°+360°$, и для угла $0°+2 \cdot 360°$, и для угла $0°+3 \cdot 360°$ и т.д.
С помощью тригонометрической таблицы можно определить значения всех углов единичной окружности.

В школьном курсе геометрии предполагается запоминание основных значений тригонометрических функций, собранных в тригонометрической таблице, для удобства решения тригонометрических задач.
Практические примеры использования таблицы
Таблицам Брадиса легко можно найти применение в современном учебном процессе, например, выполняя школьные уроки.
Задача №1
10-метровая лестница опирается на здание таким образом, что имеет угол наклона 35°. Необходимо узнать расстояние от земли до ее вершины.
Решение
Имеем треугольник, где угол BСA = 90°, BАC = 30°. По определению^
sin ВАС = ВС /АВ
где ВС — высота лестницы, которую нужно найти, а АВ — известная из условия длина.
Таким образом:
\(ВС\;=\;АВ\;х\;\sin\;ВАС\).
Узнав из таблицы Брадиса нужный синус и подставив все известные значения в формулу, можно найти ответ:
ВС (высота лестницы) = 10 м х 0,5736 = 5,736 метров.
Задача №2
Найдете длину тени от маяка высокой 30 м, если солнце находится в 60° над горизонтом.
Решение
Схематически условия задачи можно представить в виде треугольника, с прямым углом ВСА, и ВАС = 55°. По определению:
\( tg\;ВАС\;=\;АВ\;/\;СВ\)
где АВ — высота маяка, а СВ — длина тени.
Отсюда \(СВ\;=\;АВ\;/\;tg\;ВАС\).
Определив по таблице Брадиса нужную величину и подставив в формулу все известные значения, получим:
Использование таблицы
В таблице достаточно найти необходимую тригонометрическую функцию и значение угла или радиан, для которых эту функцию нужно вычислить. На пересечении строки с функцией и столбца со значением получим искомое значение тригонометрической функции заданного аргумента.
На рисунке можно увидеть, как найти значение $\cos60°$, которое равно $\frac{1}{2}$.
Аналогично используется расширенная тригонометрическая таблица. Преимуществом ее использования является, как уже упоминалось, вычисление тригонометрической функции практически любого угла. Например, легко можно найти значение $\tan 1 380°=\tan (1 380°-360°)=\tan(1 020°-360°)=\tan(660°-360°)=\tan300°$:
Таблица синусов и косинусов

В силу широкого использования синусов и косинусов в учебных задачах, это самая распространенная из таблиц Брадиса. Она дает значение этих тригонометрических функций для любого острого угла от 0° до 90°. С помощью дополнительных колонок можно находить и более точные спецификации. Это 6′, 12′,18, 24′, 30′, 36′, 42′, 48′ и 54′ для углов указанного диапазона, например:
- \(\sin\;10^\circ\;=\;0,1736\). С помощью дополнительных колонок находим — \(\sin\;10^\circ\;12’\;=\;0,1771,\;\sin\;10^\circ\;24’\;=\;0,1805\);
- \(\sin\;50^\circ\;=\;0,7660\). Обращаясь к дополнительной колонке выясняем, что \(\sin\;50^\circ\;12’\;=\;0,7683,\;\sin\;50^\circ\;24’\;=\;0,7705\).
Если нужны еще более точные показатели, то нужно использовать поправочные коэффициенты, отнимая и прибавляя их к ближайшему табличному значению минут. Используя их, находим:
- \(\sin\;10^\circ\;15’\;=\;\sin\;10^\circ\;12’\;+\;0,0009\;=\;0,1771+0,0009\;=\;0,1780\);
- \(\sin\;50^\circ\;22’\;=\;\sin\;50^\circ\;24′-0,0004\;=\;0,7705-0,0004\;=\;0,7701\).
Для нахождения косинусов можно использовать значения в правой колонке, но куда удобнее вычислять через синус угла, дополняющего до 90°. В этом случае:
- \(\cos\;10^\circ\;=\;\sin\;80^\circ\;=\;0,9848;\)
- \(\cos\;50^\circ\;=\;\sin\;40^\circ\;=\;0,6428.\)
Аналогично проводят и более точные вычисления, в том числе — с использованием поправочных коэффициентов:
- \(\cos\;10^\circ\;12’\;=\;\sin\;79^\circ\;48’\;=\;0,9842;\)
- \(\cos\;10^\circ\;15’\;=\;\sin\;79^\circ\;45’\;=\;\sin\;79^\circ\;48′-0,0002\;=\;0,9842-0,002\;=\;0,9840;\)
- \(\cos\;50^\circ\;24’\;=\;\sin\;39^\circ\;36’\;=\;0,6374;\)
- \(\cos\;50^\circ\;22’\;=\;\sin\;39^\circ\;38’\;=\;\sin\;39^\circ\;36’\;+\;0,0004\;=0,6374\;+\;0,0004\;=\;0,6380.\)
























![Тригонометрические выражения и тригонометрические формулы [wiki.eduvdom.com]](http://rwvt.ru/wp-content/uploads/b/8/a/b8a4c6ce6ac5db11530ea28cef157459.jpeg)

